Tổng số hạt proton, nơtron, electron trong hai nguyên tử kim loại X và Y là 142, trong đó tổng số hạt mang điện nhiều hơn tổng số hạt không mang điện là 42. Số hạt mang điện của nguyên tử Y nhiều hơn của X là 12. Hai kim loại X, Y lần lượt là
A. Na, K. B. K, Ca.
C. Mg, Fe. D. Ca, Fe.
Quảng cáo
3 câu trả lời 724
Đáp án: D
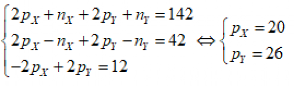
Ta có hệ:

Vậy, kim loại X là Ca, Y là Fe.
Quảng cáo
Bạn cần hỏi gì?
Câu hỏi hot cùng chủ đề
-
Hỏi từ APP VIETJACK105318
-
Hỏi từ APP VIETJACK
Đã trả lời bởi chuyên gia
64909 -
Đã trả lời bởi chuyên gia
59175 -
Đã trả lời bởi chuyên gia
42300 -
Hỏi từ APP VIETJACK
Đã trả lời bởi chuyên gia
39480
Gửi báo cáo thành công!
