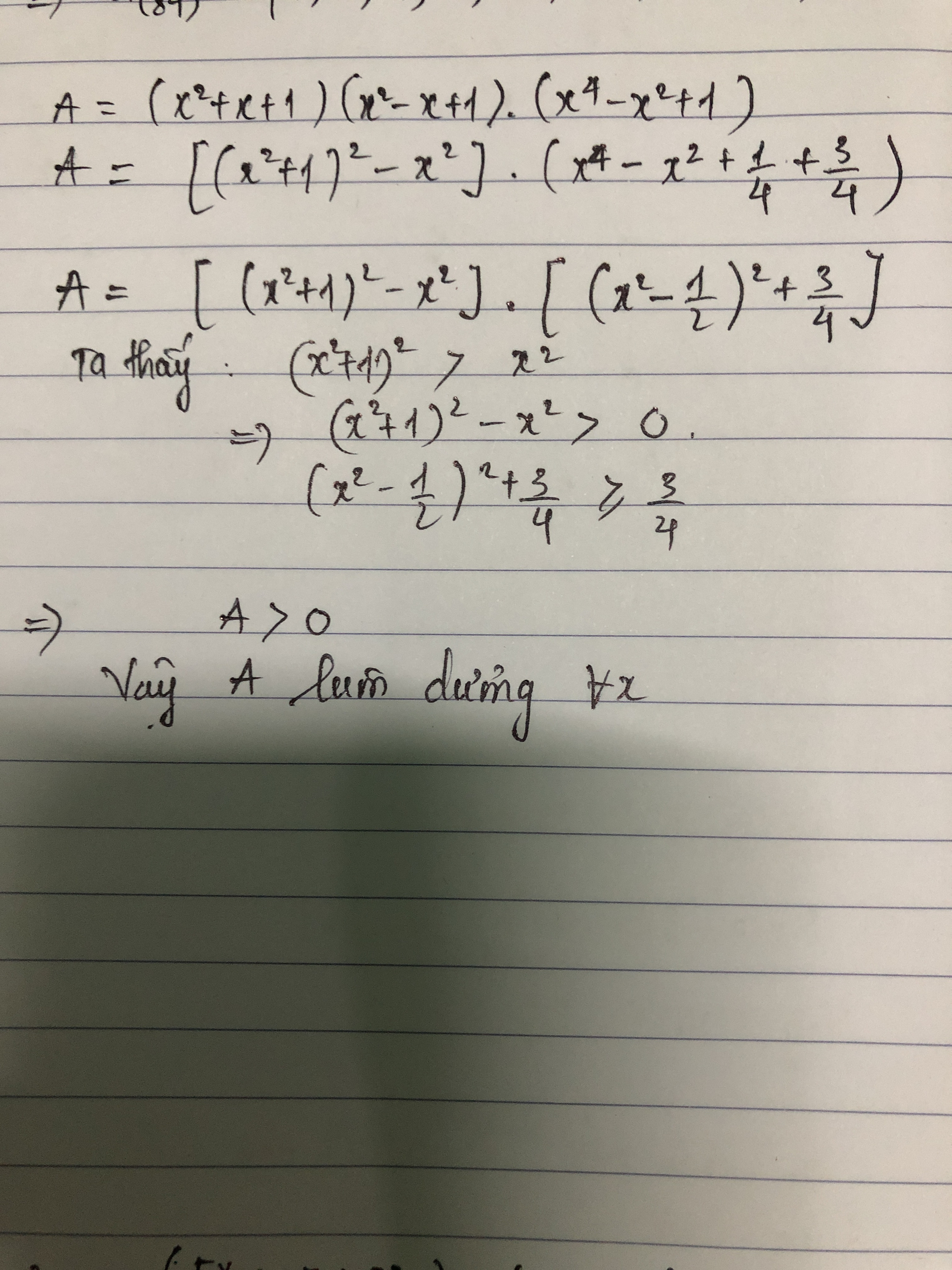
Cho biểu thức A=(+x+1).(-x+1).(-+1). Chứng tỏ rằng A luôn dương với mọi giá trị của biến.
Quảng cáo
1 câu trả lời 392
Quảng cáo
Bạn cần hỏi gì?
Câu hỏi hot cùng chủ đề
-
Đã trả lời bởi chuyên gia
17746 -
Đã trả lời bởi chuyên gia
8252 -
Đã trả lời bởi chuyên gia
8228
Gửi báo cáo thành công!
