Hợp chất có công thức phân tử là M2X với tổng số hạt cơ bản trong 1 phân tử là 116 trong đó số hạt mang điện nhiều hơn số hạt k mang điện là 36 khối lượng nguyên tử X lớn hơn M là 9 . Tổng số hạt trong X2- nhiều hơn M+ là 17. Xác định số khối M ,X
Quảng cáo
2 câu trả lời 5380
4 năm trước
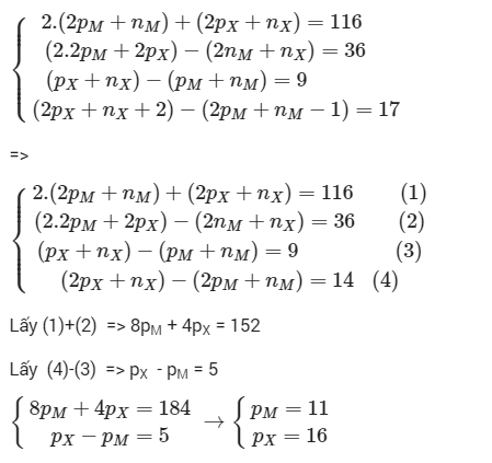
ta có:

Thay pM và pX vào (1) và (3) được:
=>Số khối của M là: A=11+12=23
Số khối của X là: 16+16=32
Vậy: số khối của M là 13đvC; của X là 32đvC
Đô
· 4 năm trước
ở đâu có 184 ạ
Hoàng Thị Hiên
· 4 năm trước
à mình đánh nhầm, là 152 nhé
Quảng cáo
Bạn muốn hỏi bài tập?
Câu hỏi hot cùng chủ đề
-
Hỏi từ APP VIETJACK99845
-
Hỏi từ APP VIETJACK63812
Gửi báo cáo thành công!
