Quảng cáo
2 câu trả lời 4416
Bài toán:
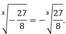
Giải phương trình:
![]()
Giải chi tiết:
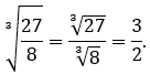
Bước 1: Khai căn hai vế phương trình
Phương trình đã cho là:
![]()
Lấy căn bậc ba hai vế của phương trình (lưu ý dấu âm):

Do tính chất của căn bậc ba:

Vì:

Do đó:

Khi đó phương trình trở thành:

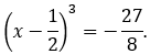
Bước 2: Giải ẩn
Cộng
vào hai vế của phương trình:

Rút gọn:
![]()
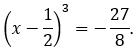
Kết luận:
Nghiệm của phương trình là:
![]()
\[\begin{array}{l}
{\left( {x - \frac{1}{2}} \right)^3} = \frac{{ - 27}}{8}\\
= > {\left( {x - \frac{1}{2}} \right)^3} = {\left( {\frac{{ - 3}}{2}} \right)^3}\\
= > x - \frac{1}{2} = \frac{{ - 3}}{2}\\
= > x = \frac{{ - 3}}{2} + \frac{1}{2}\\
= > x = - 1\\
Vay:x = - 1
\end{array}\]
Quảng cáo
Bạn cần hỏi gì?
Câu hỏi hot cùng chủ đề
-
Đã trả lời bởi chuyên gia
Điền vào chỗ trống trong bảng thanh toán sau:
Số thứ tự Loại hàng Số lượng (quyển) Giá đơn vị (đồng) Tổng số tiền (đồng) 1 Vở loại 1 35 2000 ... 2 Vở loại 2 42 1500 ... 3 Vở loại 3 38 1200 ... Cộng: ... 170100 -
Đã trả lời bởi chuyên gia
78752 -
Đã trả lời bởi chuyên gia
63195 -
Hỏi từ APP VIETJACK
Đã trả lời bởi chuyên gia
39467 -
Đã trả lời bởi chuyên gia
35479 -
Đã trả lời bởi chuyên gia
32364



