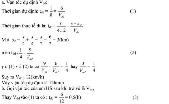
1 học sinh đi từ nhà tới trường, sau khi đi được 1/4 quãng đường thì chợt nhớ mk quên quyển sách nên vội trở về và đi ngay đến trường thì trễ 15p
a)Tính vận tốc chuyển động của em học sinh, biết quãng đường từ nhà tới trường là :6km. Bỏ qua thời gian lên xuống xe khi trở về nhà
b) Để đến trường đúng thời gian dự định thì khi quay về và đi lần 2 em phải đi với vận tốc bao nhiêu ?
Quảng cáo
2 câu trả lời 2428
a/ Quãng đường phải đi thêm : 2 . ( ) . 6 = 3 ( km )
Thời gian đi tr
Quảng cáo
Bạn cần hỏi gì?
Câu hỏi hot cùng chủ đề
-
Hỏi từ APP VIETJACK
Đã trả lời bởi chuyên gia
76203 -
Đã trả lời bởi chuyên gia
28813 -
Đã trả lời bởi chuyên gia
26633
Gửi báo cáo thành công!


