Quảng cáo
4 câu trả lời 790
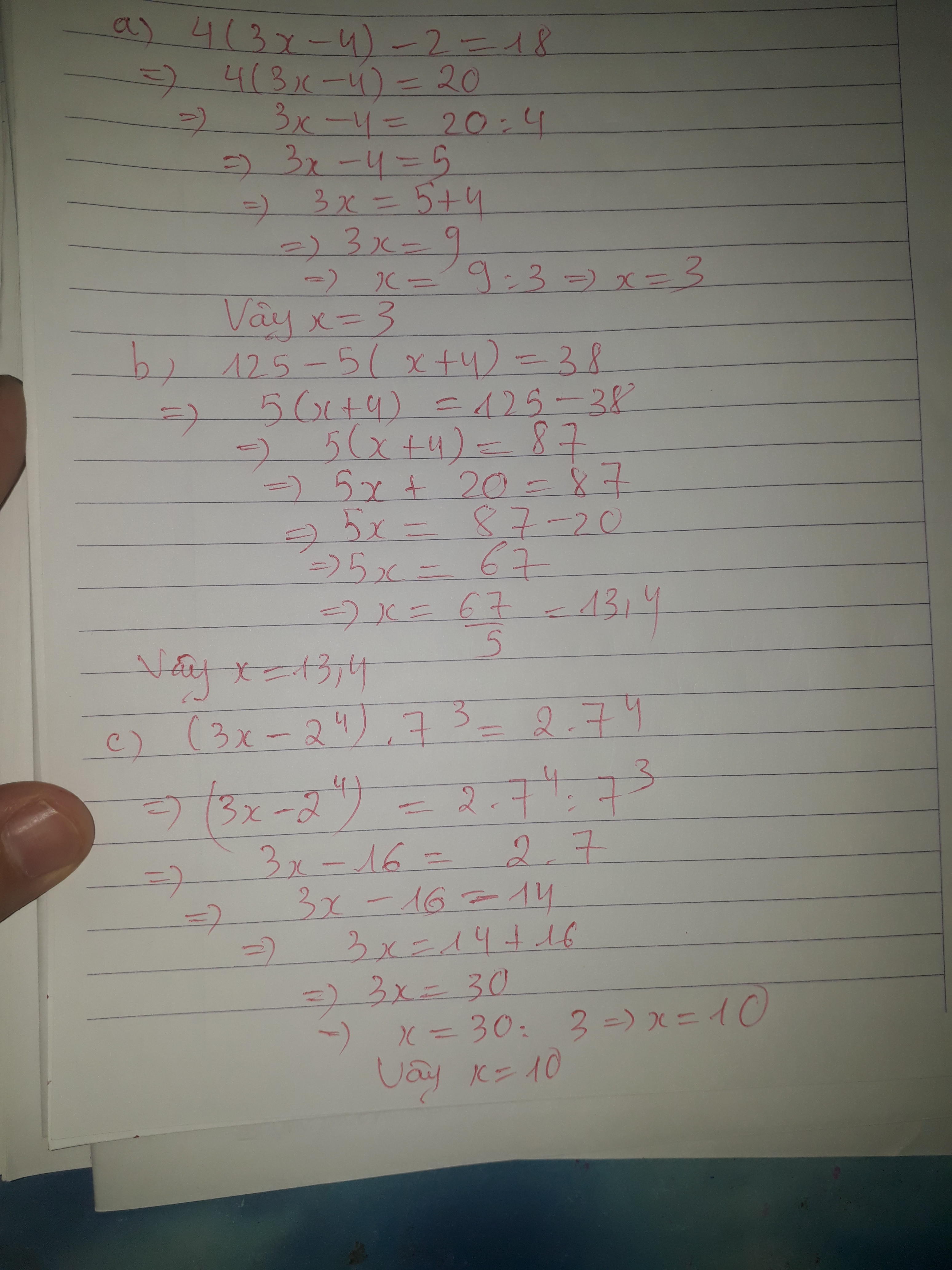
a) 4.(3x-4)-2=18
=>4.(3x-4)=18+2=20
=>3x-4=5
=>3x=9=>x=3
Vậy x=3
b) 125-5(x+4)=38
=>5.(x+4)=125-38=87
=>x+4=87/5=>x=87/5-4=67/5
Vạy x=67/5
4.(3x-4)-2=18
<=>3x-4=(18+2):4
<=>3x-4=5
<=>x=3
vậy x=3
b) 125-5(x+4)=38
<=>(x+4)=(125-38):5
<=>x+4=17.4
<=>x=17.4-4
<=>x=13.4
Vậy x=13.4
c)(3x-2^4).7^3=2.7^4
vậy X= 10
Quảng cáo
Bạn cần hỏi gì?
Câu hỏi hot cùng chủ đề
-
Đã trả lời bởi chuyên gia
Điền vào chỗ trống trong bảng thanh toán sau:
Số thứ tự Loại hàng Số lượng (quyển) Giá đơn vị (đồng) Tổng số tiền (đồng) 1 Vở loại 1 35 2000 ... 2 Vở loại 2 42 1500 ... 3 Vở loại 3 38 1200 ... Cộng: ... 171268 -
Đã trả lời bởi chuyên gia
79378 -
Đã trả lời bởi chuyên gia
63867 -
Hỏi từ APP VIETJACK
Đã trả lời bởi chuyên gia
40184 -
Đã trả lời bởi chuyên gia
36046 -
Đã trả lời bởi chuyên gia
32835
Gửi báo cáo thành công!





