Huỳnh Hương
Hỏi từ APP VIETJACK
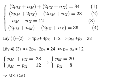
Tổng số hạt trong phân tử MX là 84 hạt, trong đó số hạt mang điện nhiều hơn số hạy không mang điện là 28 số Nơtron của M nhiều hơn số khối của X là 12 đơn vị. Số hạt trong M lớn hơn số hạt trong X là 36 hạt. MX là hợp chất nào
Quảng cáo
2 câu trả lời 29449
Gọi hạt proton và notron của M là pM và nM
hạt proton và notron của X là pX và nX
Theo bài ra:

Nguyễn Hà
· 3 năm trước
Đề bài” số neutron của M nhiều hơn số khối của X là 4 đơn vị"
Nguyễn Hà
· 3 năm trước
Thì phải là Nm-(Px+Nx)= 12 chứ
4 năm trước
2PM+2PX+NM+NX=84
2PM+2PX-(NM+NX)=28
-Giải ra PM+PX=28(1), NM+NX=28(2)
NM-NX=12(3)
-Giải (2,3) ta được: NM=20, NX=8
2PM+NM-2PX-NX=36→→2PM-2PX=36-12=24→→PM-PX=12(4)
-Giải (1,4) ta được: PM=20(Ca), PX=8(O)
MX: CaO
Quảng cáo
Bạn muốn hỏi bài tập?
Câu hỏi hot cùng chủ đề
-
Hỏi từ APP VIETJACK99766
-
Hỏi từ APP VIETJACK63662
Gửi báo cáo thành công!
