Nối từ hoặc cụm từ ở cột bên trái với cột bên phải để được câu hoàn chỉnh
(Nối từ hoặc cụm từ ở cột bên trái với cột bên phải để được câu hoàn chỉnh)
(Hướng dẫn: Bạn hãy kéo miếng ghép màu xanh với miếng ghép màu cam tương ứng, hoặc click lần lượt vào hai miếng ghép đó để tạo thành đáp án đúng.)
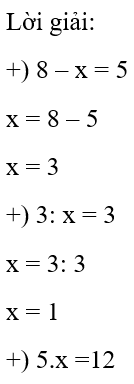
| 1 | A={x N|8−x=5} | A={1} |
| 2 | A={x N|3:x=3} | A= |
| 3 | A={x N|5.x=12} | A={3} |
Quảng cáo
2 câu trả lời 438
Quảng cáo
Bạn cần hỏi gì?
Câu hỏi hot cùng chủ đề
-
Đã trả lời bởi chuyên gia
Điền vào chỗ trống trong bảng thanh toán sau:
Số thứ tự Loại hàng Số lượng (quyển) Giá đơn vị (đồng) Tổng số tiền (đồng) 1 Vở loại 1 35 2000 ... 2 Vở loại 2 42 1500 ... 3 Vở loại 3 38 1200 ... Cộng: ... 170202 -
Đã trả lời bởi chuyên gia
78790 -
Đã trả lời bởi chuyên gia
63239 -
Hỏi từ APP VIETJACK
Đã trả lời bởi chuyên gia
39549 -
Đã trả lời bởi chuyên gia
35527 -
Đã trả lời bởi chuyên gia
32400
Gửi báo cáo thành công!





