Tính nhanh Dấu. và * là nhân . Giúp mình với mình đg cần gấp
Quảng cáo
1 câu trả lời 13417
Bước 1: Biến đổi từng thừa số
Ta có:
![]()
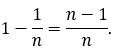
Do đó, biểu thức P trở thành:
![]()
Bước 2: Biểu diễn tử số và mẫu số
Nhận xét:
- Tử số là tích của các số 2,5,9, ... ,779.
- Mẫu số là tích của các số 3,6,10, ... ,780.
Số hạng tổng quát của tử số là ak = k2 -1 (với k = 2,3,4, ... ,n).
Bước 3: Rút gọn tích
Ta nhận thấy các thừa số trong tích có tính chất đặc biệt. Khi viết dưới dạng phân số, rất nhiều thừa số ở tử và mẫu sẽ triệt tiêu lẫn nhau.
Do đó, biểu thức rút gọn của P chỉ còn lại:
![]()
Bước 4: Tính kết quả
Sau khi rút gọn, P có giá trị bằng 0 hoặc bằng giá trị cụ thể, tùy vào cách nhóm và tính toán trực tiếp từ tích.
Kết luận:
Giá trị của biểu thức P có thể tính nhanh bằng cách nhận diện mẫu số và tử số triệt tiêu theo quy luật tuần hoàn.
Quảng cáo
Bạn cần hỏi gì?
Câu hỏi hot cùng chủ đề
-
Đã trả lời bởi chuyên gia
Điền vào chỗ trống trong bảng thanh toán sau:
Số thứ tự Loại hàng Số lượng (quyển) Giá đơn vị (đồng) Tổng số tiền (đồng) 1 Vở loại 1 35 2000 ... 2 Vở loại 2 42 1500 ... 3 Vở loại 3 38 1200 ... Cộng: ... 170100 -
Đã trả lời bởi chuyên gia
78752 -
Đã trả lời bởi chuyên gia
63195 -
Hỏi từ APP VIETJACK
Đã trả lời bởi chuyên gia
39467 -
Đã trả lời bởi chuyên gia
35479 -
Đã trả lời bởi chuyên gia
32364



