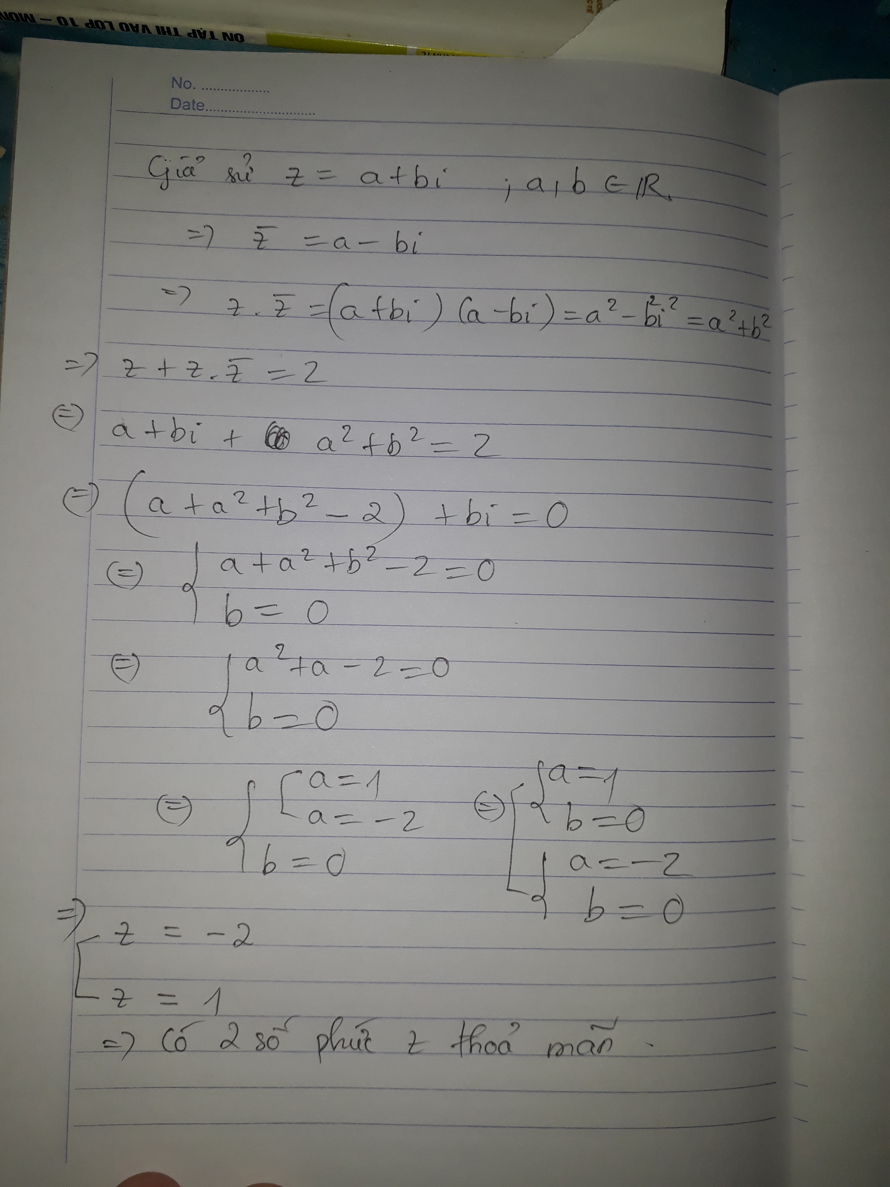
z+z.z liên hợp =2. zliên hợp có bao nhiêu số phức z thỏa mãn
Quảng cáo
1 câu trả lời 1136
X
Quảng cáo
Bạn cần hỏi gì?
Câu hỏi hot cùng chủ đề
-
Đã trả lời bởi chuyên gia
28518 -
Đã trả lời bởi chuyên gia
23767 -
Đã trả lời bởi chuyên gia
12779 -
Đã trả lời bởi chuyên gia
12113 -
Đã trả lời bởi chuyên gia
10179 -
Đã trả lời bởi chuyên gia
9949 -
Đã trả lời bởi chuyên gia
9723 -
Đã trả lời bởi chuyên gia
9646
Gửi báo cáo thành công!
