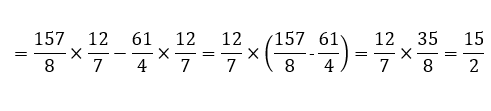
19 5/8:7/12-15 1/4:7/12
Quảng cáo
1 câu trả lời 856
Quảng cáo
Bạn cần hỏi gì?
Câu hỏi hot cùng chủ đề
-
Đã trả lời bởi chuyên gia
Điền vào chỗ trống trong bảng thanh toán sau:
Số thứ tự Loại hàng Số lượng (quyển) Giá đơn vị (đồng) Tổng số tiền (đồng) 1 Vở loại 1 35 2000 ... 2 Vở loại 2 42 1500 ... 3 Vở loại 3 38 1200 ... Cộng: ... 170100 -
Đã trả lời bởi chuyên gia
78752 -
Đã trả lời bởi chuyên gia
63195 -
Hỏi từ APP VIETJACK
Đã trả lời bởi chuyên gia
39467 -
Đã trả lời bởi chuyên gia
35479 -
Đã trả lời bởi chuyên gia
32364
Gửi báo cáo thành công!




