Quảng cáo
1 câu trả lời 6202

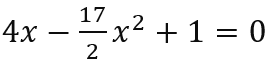
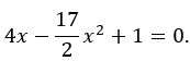
1. Phương trình ban đầu
Phương trình cần giải là:

2. Quy đồng mẫu số
Ta nhận thấy có phân số
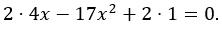
, nên quy đồng mẫu số cho toàn bộ phương trình. Mẫu số chung là 2, khi đó:
![]()
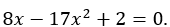
Rút gọn, ta được:
![]()
Sắp xếp lại theo thứ tự bậc của , phương trình trở thành:
![]()
3. Đổi dấu để đưa về dạng chuẩn
Để thuận tiện hơn, ta đổi dấu toàn bộ phương trình:
![]()
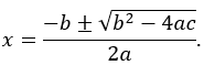
4. Sử dụng công thức nghiệm của phương trình bậc hai
Phương trình bậc hai có dạng tổng quát:
![]()
với nghiệm được tính bằng công thức:

Trong trường hợp này:
![]()
5. Tính nghiệm
Thay a, b, và c vào công thức, ta có:

Rút gọn từng phần:
- -(-8) = 8,
- (-8)2 = 64,
- .
Do đó:

Tiếp tục tính toán:
64 + 136 = 200
Vậy:

6. Rút gọn nghiệm
Ta biết
. Thay vào phương trình, ta có:
![]()
Rút gọn mẫu số:

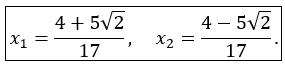
7. Kết luận
Nghiệm của phương trình là:

Quảng cáo
Bạn muốn hỏi bài tập?
Câu hỏi hot cùng chủ đề
-
103087
-
Hỏi từ APP VIETJACK78772
-
Hỏi từ APP VIETJACK71504
-
Hỏi từ APP VIETJACK59953
-
Hỏi từ APP VIETJACK45838
-
36754
