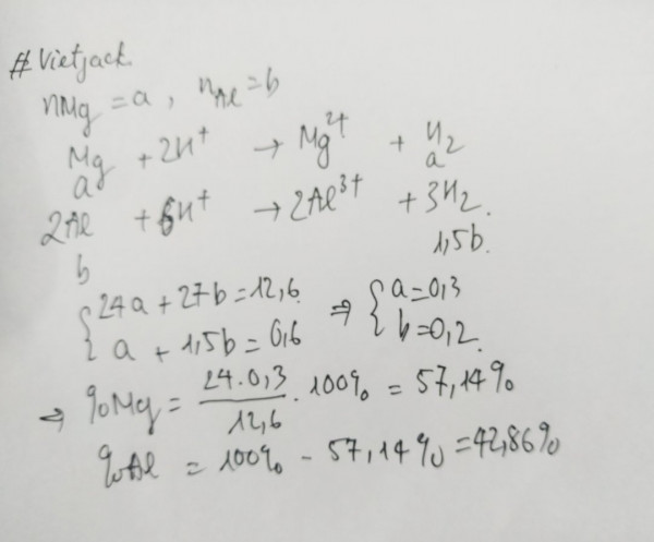
Cho 12,6 g hỗn hợp gồm Mg và Al tác dụng với dd H2SO4 loãng , phản ứng xảy ra hoàn toàn thu được 13,44 lít khí H2 đktc. Tính phần trăm khối lượng của Mg và Al trong h2 ban
đầu?
Quảng cáo
1 câu trả lời 11635
Quảng cáo
Bạn cần hỏi gì?
Câu hỏi hot cùng chủ đề
-
Hỏi từ APP VIETJACK105428
-
Hỏi từ APP VIETJACK
Đã trả lời bởi chuyên gia
64923 -
Đã trả lời bởi chuyên gia
59179 -
Đã trả lời bởi chuyên gia
42310 -
Hỏi từ APP VIETJACK
Đã trả lời bởi chuyên gia
39494
Gửi báo cáo thành công!

