Phương trình có nghiệm là
A. x =
B. x = 2
C.x = 3
D. x =1
Quảng cáo
3 câu trả lời 9766
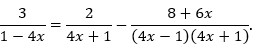
Giải phương trình:
![]()
Bước 1: Biến đổi mẫu số Nhận thấy:
![]()
Do đó, phương trình trở thành:
![]()
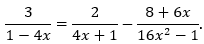
Để dễ dàng quy đồng, ta viết lại:
![]()
Vì vậy,
có thể viết thành:
![]()
Bước 2: Quy đồng mẫu số Mẫu số chung của các phân số là (4x - 1)(4x + 1). Ta quy đồng tất cả các phân số:
Rút gọn phương trình:
![]()
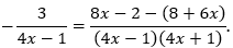
Bước 3: Biến đổi tử số Rút gọn tử số của vế phải:
![]()
Khi đó, phương trình trở thành:
![]()
Bước 4: Khử mẫu số Vì mẫu số chung là
, ta nhân cả hai vế với
:
![]()
Phân phối vế trái:
![]()
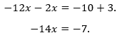
Bước 5: Giải phương trình bậc nhất Chuyển các số hạng chứa về một vế:
![]()
Chia cả hai vế cho -14:
![]()
Bước 6: Kiểm tra điều kiện xác định Các mẫu số 1 - 4x, 4x +1, và (4x -1)(4x + 1) phải khác 0:
Vì
thỏa mãn tất cả điều kiện trên, nên đây là nghiệm của phương trình.
Kết luận: Nghiệm của phương trình là:
![]()
Quảng cáo
Bạn muốn hỏi bài tập?
Câu hỏi hot cùng chủ đề
-
19886
