Phương trình x4 – 2(m + 1)x2 + 2m + 1 = 0 (1) có bốn nghiệm phân biệt lập thành cấp số cộng.
A. m = 2 hoặc m = -4/9
B. m = 4 hoặc m = -4/9
C. m = 4 hoặc m = -2
D. m = 3 hoặc m = -1
Quảng cáo
1 câu trả lời 4117
5 năm trước
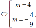
Chọn B.
Đặt t = x2, t ≥ 0.
Phương trình trở thành: t2 – 2(m + 1)t + 2m + 1 = 0 (2)
Phương trình (1) có bốn nghiệm phân biệt khi và chỉ khi PT (2) có hai nghiệm dương phân biệt t2 > t1 > 0.
Khi đó PT(2) có bốn nghiệm là:
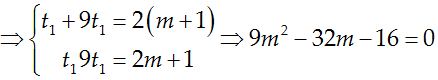
Bốn nghiệm này lập thành cấp số cộng khi :
Theo định lý viet thì :
Vậy m = 4 hoặc là những giá trị cần tìm.
Quảng cáo
Bạn muốn hỏi bài tập?
Câu hỏi hot cùng chủ đề
Gửi báo cáo thành công!
