Cho số phức z thỏa mãn |z - 3 - 4i| = . Gọi M và m lần lượt là giá trị lớn nhất và giá trị nhỏ nhất của biểu thức P = - . Tính mô đun của số phức = M + mi
A. || =
B. || =
C. || =
D. || =
Quảng cáo
1 câu trả lời 485
Đáp án A
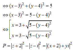
Đặt z = x + yi
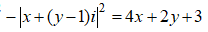
Có ![]()

![]()
TH1:

Xét hàm số:
trên ![]()
Có

Ta có:

TH2:

Xét hàm số:
trên ![]()

Ta có:


Quảng cáo
Bạn cần hỏi gì?
Câu hỏi hot cùng chủ đề
-
Đã trả lời bởi chuyên gia
28518 -
Đã trả lời bởi chuyên gia
23767 -
Đã trả lời bởi chuyên gia
12779 -
Đã trả lời bởi chuyên gia
12113 -
Đã trả lời bởi chuyên gia
10179 -
Đã trả lời bởi chuyên gia
9949 -
Đã trả lời bởi chuyên gia
9723 -
Đã trả lời bởi chuyên gia
9646
Gửi báo cáo thành công!
