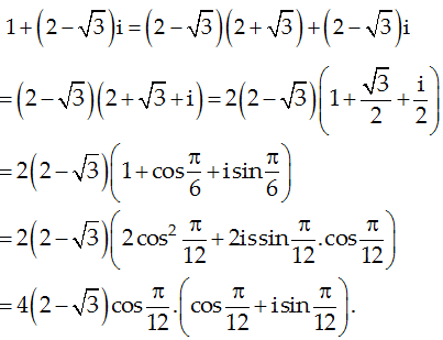
Viết các số phức sau dưới dạng lượng giác : ![]()
D. Đáp án khác
Quảng cáo
1 câu trả lời 193
Quảng cáo
Bạn cần hỏi gì?
Câu hỏi hot cùng chủ đề
-
Đã trả lời bởi chuyên gia
28534 -
Đã trả lời bởi chuyên gia
23784 -
Đã trả lời bởi chuyên gia
12815 -
Đã trả lời bởi chuyên gia
12118 -
Đã trả lời bởi chuyên gia
10195 -
Đã trả lời bởi chuyên gia
9962 -
Đã trả lời bởi chuyên gia
9731 -
Đã trả lời bởi chuyên gia
9661
Gửi báo cáo thành công!
