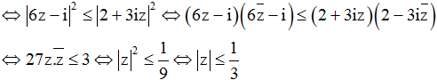
Cho số phức z thỏa điều kiện
. Tìm khẳng định đúng
A. |z| ≥ 1
B. |z| ≤ 3
C. |z| ≤ 1/3
D. |z| > 1/3
Quảng cáo
1 câu trả lời 326
Quảng cáo
Bạn cần hỏi gì?
Câu hỏi hot cùng chủ đề
-
Đã trả lời bởi chuyên gia
28534 -
Đã trả lời bởi chuyên gia
23784 -
Đã trả lời bởi chuyên gia
12815 -
Đã trả lời bởi chuyên gia
12118 -
Đã trả lời bởi chuyên gia
10195 -
Đã trả lời bởi chuyên gia
9962 -
Đã trả lời bởi chuyên gia
9731 -
Đã trả lời bởi chuyên gia
9661
Gửi báo cáo thành công!
