nguyen giang
Hỏi từ APP VIETJACK
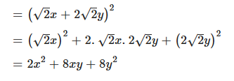
Thực hiện phépbtinhs (v2x+v8y)²
Quảng cáo
2 câu trả lời 92
Quảng cáo
Bạn cần hỏi gì?
Câu hỏi hot cùng chủ đề
-
105523
-
Hỏi từ APP VIETJACK
Đã trả lời bởi chuyên gia
81595 -
Hỏi từ APP VIETJACK
Đã trả lời bởi chuyên gia
77538 -
Hỏi từ APP VIETJACK62205
-
Hỏi từ APP VIETJACK
Đã trả lời bởi chuyên gia
48887 -
Đã trả lời bởi chuyên gia
38516
Gửi báo cáo thành công!

..