Bình Nguyễn Thị
Hỏi từ APP VIETJACK
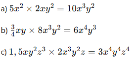
Nhân hai đơn thức :
a, 5x2 và 2xy2 ;
b, 3/4xy và 8x3y2;
c, 1,5xy2z3 và 2x3y2z
Quảng cáo
1 câu trả lời 242
Quảng cáo
Bạn cần hỏi gì?
Câu hỏi hot cùng chủ đề
-
Đã trả lời bởi chuyên gia
78204 -
Hỏi từ APP VIETJACK
Đã trả lời bởi chuyên gia
31961 -
Đã trả lời bởi chuyên gia
Số thích hợp viết vào chỗ chấm để 45m2 6cm2 = ........... cm2 là:
A. 456
B. 4506
C. 456 000
D. 450 006
29518 -
Hỏi từ APP VIETJACK
Đã trả lời bởi chuyên gia
27980 -
Hỏi từ APP VIETJACK
Đã trả lời bởi chuyên gia
26736 -
Đã trả lời bởi chuyên gia
25766
Gửi báo cáo thành công!

