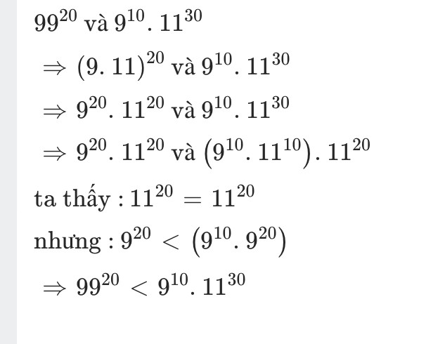
99^20và 9^10.11^30
Quảng cáo
1 câu trả lời 348
Quảng cáo
Bạn cần hỏi gì?
Câu hỏi hot cùng chủ đề
-
Đã trả lời bởi chuyên gia
Điền vào chỗ trống trong bảng thanh toán sau:
Số thứ tự Loại hàng Số lượng (quyển) Giá đơn vị (đồng) Tổng số tiền (đồng) 1 Vở loại 1 35 2000 ... 2 Vở loại 2 42 1500 ... 3 Vở loại 3 38 1200 ... Cộng: ... 171799 -
Đã trả lời bởi chuyên gia
79812 -
Đã trả lời bởi chuyên gia
64311 -
Hỏi từ APP VIETJACK
Đã trả lời bởi chuyên gia
40611 -
Đã trả lời bởi chuyên gia
36459 -
Đã trả lời bởi chuyên gia
33212
Gửi báo cáo thành công!




