Quảng cáo
3 câu trả lời 412
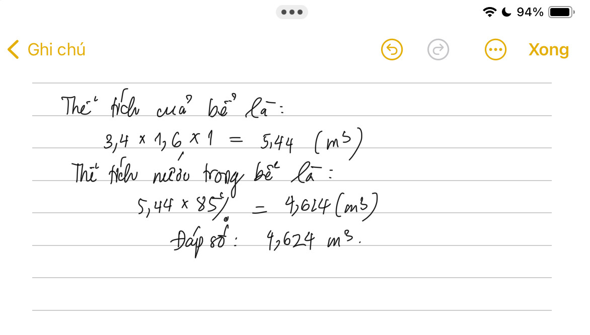
Thể tích bể nước đó là:
3,4 1,6 1 = 5,44 (m³)
Thể tích nước trong bể là:
5,44 : 100 x 85 = 4,624 (m³)
1 năm trước
Để tính thể tích nước trong bể, ta cần xác định thể tích của bể và sau đó tính 85% thể tích đó.
Thể tích của bể nước là thể tích hình hộp chữ nhật:
V_bể = chiều dài x chiều rộng x chiều cao
V_bể = 3,4m x 1,6m x 1m
V_bể = 5,44 m³
Thể tích nước trong bể là 85% thể tích của bể:
V_nước = 0,85 x V_bể
V_nước = 0,85 x 5,44 m³
V_nước = 4,624 m³
Vậy thể tích nước trong bể là 4,624 m³.
Quảng cáo
Bạn muốn hỏi bài tập?
Câu hỏi hot cùng chủ đề
-
46256
-
Hỏi từ APP VIETJACK30931
Gửi báo cáo thành công!
