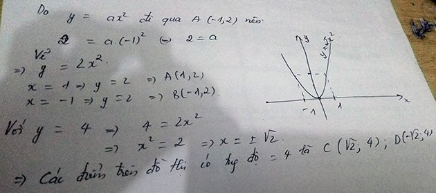
Cho hàm Số (P):y=ax2
a) xác định a để đồ thị hàm số đi qua A(-1;2)
b) vẽ đồ thị hàm số
c) tìm các điểm thuộc (P) có hoành độ bằng 4
d) tìm toạ độ các điểm thuộc (P) cách đều 2 trục toạ độ
Quảng cáo
1 câu trả lời 464
1 năm trước
Bài làm
d)

Tran Duc Luong
· 1 năm trước
e tưởng hoành độ bằng 4 phải thay x=4 chứ sao lại y =4 ak
Quảng cáo
Bạn muốn hỏi bài tập?
Câu hỏi hot cùng chủ đề
-
7366
Gửi báo cáo thành công!
