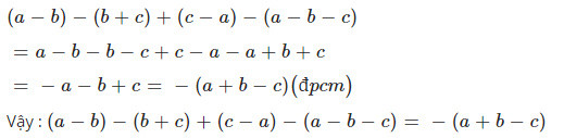
chứng minh rằng (a-b)-(b+c)+(c-a)-(a-b-c)=-(a+b-c)
Quảng cáo
2 câu trả lời 445
Quảng cáo
Bạn cần hỏi gì?
Câu hỏi hot cùng chủ đề
-
Đã trả lời bởi chuyên gia
Điền vào chỗ trống trong bảng thanh toán sau:
Số thứ tự Loại hàng Số lượng (quyển) Giá đơn vị (đồng) Tổng số tiền (đồng) 1 Vở loại 1 35 2000 ... 2 Vở loại 2 42 1500 ... 3 Vở loại 3 38 1200 ... Cộng: ... 171529 -
Đã trả lời bởi chuyên gia
79589 -
Đã trả lời bởi chuyên gia
64095 -
Hỏi từ APP VIETJACK
Đã trả lời bởi chuyên gia
40387 -
Đã trả lời bởi chuyên gia
36254 -
Đã trả lời bởi chuyên gia
33021
Gửi báo cáo thành công!




