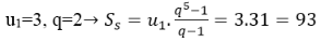
Tìm tổng 5 số hạng đầu tiên của cấp số nhân, biết
A. 36
B. 90
C. 27
D. 93
Quảng cáo
1 câu trả lời 467
Quảng cáo
Bạn cần hỏi gì?
Câu hỏi hot cùng chủ đề
-
Đã trả lời bởi chuyên gia
72437 -
Đã trả lời bởi chuyên gia
22372 -
Đã trả lời bởi chuyên gia
19067
Gửi báo cáo thành công!
