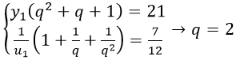
Công bội nguyên dương của cấp số nhân thoả mãn :
A. 3
B. 2
C. 1
D. 0
Quảng cáo
1 câu trả lời 727
Quảng cáo
Bạn cần hỏi gì?
Câu hỏi hot cùng chủ đề
-
Đã trả lời bởi chuyên gia
72437 -
Đã trả lời bởi chuyên gia
22372 -
Đã trả lời bởi chuyên gia
19067
Gửi báo cáo thành công!

