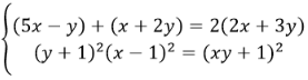
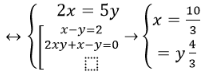
Giả sử các số 5x-y, 2x+3y, x+2y lập thành một cấp số cộng, còn các số (y+1)2, xy + 1 và (x-1)2 lập thành cấp số nhân. Hiệu của x, y dương bằng?
A. 1
B. 2
C. 5/3
D. 1/3
Quảng cáo
1 câu trả lời 752
Quảng cáo
Bạn cần hỏi gì?
Câu hỏi hot cùng chủ đề
-
Đã trả lời bởi chuyên gia
72437 -
Đã trả lời bởi chuyên gia
22372 -
Đã trả lời bởi chuyên gia
19067
Gửi báo cáo thành công!


