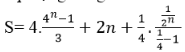
Tính tổng :
A.
B.
C.
D.
Quảng cáo
1 câu trả lời 3158
![]()
![]()
![]()
![]()
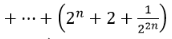
Áp dụng công thức tính tổng n số hạng đầu tiên của một cấp số nhân:

![]()
=
Chọn C
Quảng cáo
Bạn cần hỏi gì?
Câu hỏi hot cùng chủ đề
-
Đã trả lời bởi chuyên gia
72437 -
Đã trả lời bởi chuyên gia
22372 -
Đã trả lời bởi chuyên gia
19067
Gửi báo cáo thành công!
