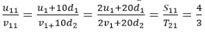
Gọi là hai cấp số cộng có công sai lần lượt là . Tổng của n số hạng đầu của mỗi cấp số cộng theo thứ tự là:
A. 71/78
B. 1
C. 5/6
D. 4/3
Quảng cáo
1 câu trả lời 1179
Quảng cáo
Bạn cần hỏi gì?
Câu hỏi hot cùng chủ đề
-
Đã trả lời bởi chuyên gia
72437 -
Đã trả lời bởi chuyên gia
22372 -
Đã trả lời bởi chuyên gia
19067
Gửi báo cáo thành công!
