Tìm số hạng đầu của cấp số nhân có bốn số hạng, biết tổng ba số hạng đầu bằng 164/9, đồng thời theo thứ tự, chúng là số hạng thứ nhất, thứ tư và thứ tám của một cấp số cộng.
A. 4
B. 16/9
C. 2/3
D. -1
Quảng cáo
1 câu trả lời 2349
Chọn A
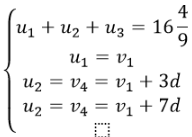
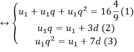
Gọi u1,u2,u3,u4 là 4 số hạng đầu tiên của cấp số nhân, với công bội q. gọi (vn) là cấp số cộng tương ứng với công sai là d. Theo giả thuyết Ta có:


Khử d từ (2) và (3) ta thu được:
![]()
![]()
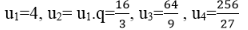
Theo định nghĩa cấp số nhân thì
![]()
![]()
![]()
Nhựt
· 3 năm trước
Cái phần khử d là sao vậy bạn nói rõ giúp mình được không
Quảng cáo
Bạn cần hỏi gì?
Câu hỏi hot cùng chủ đề
-
Đã trả lời bởi chuyên gia
72437 -
Đã trả lời bởi chuyên gia
22372 -
Đã trả lời bởi chuyên gia
19067
Gửi báo cáo thành công!
