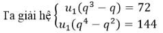
Số hạng đầu tiên của cấp số nhân (un) thoả mãn hệ :
A. 2
B. 12
C. 24
D. 0
Quảng cáo
1 câu trả lời 450
Quảng cáo
Bạn cần hỏi gì?
Câu hỏi hot cùng chủ đề
-
Đã trả lời bởi chuyên gia
72437 -
Đã trả lời bởi chuyên gia
22372 -
Đã trả lời bởi chuyên gia
19067
Gửi báo cáo thành công!
