Cho một cấp số nhân có 5 số hạng với công bội dương. Biết rằng số hạng thứ hai bằng 3, số hạng thứ tư bằng 6. Tính tổng của cấp số nhân đó?
A.
B.
C.
D.
Quảng cáo
1 câu trả lời 362
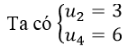
Kí hiệu u1,u2,u3,u4,u5 là các số hạng của cấp số nhân
Ta có :
![]()
![]()
![]()
![]()
![]()
![]()
Đáp án C
Quảng cáo
Bạn cần hỏi gì?
Câu hỏi hot cùng chủ đề
-
Đã trả lời bởi chuyên gia
72437 -
Đã trả lời bởi chuyên gia
22372 -
Đã trả lời bởi chuyên gia
19067
Gửi báo cáo thành công!
