Xác định số đo góc nhỏ nhất của một tứ giác lồi, biết rằng số đo 4 góc lập thành một cấp số cộng và góc lớn nhất bằng 5 lần góc nhỏ nhất.
A. 30°
B. 45°
C. 15°
D. 60°
Quảng cáo
1 câu trả lời 257
Chọn A
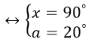
Gọi d=2a là công sai. Bốn số phải tìm là:
A=(x-3a); B=(x-a); C=(x+a); D=(x+3a). Ta có hệ phương trình:
![]()
![]()
Quảng cáo
Bạn cần hỏi gì?
Câu hỏi hot cùng chủ đề
-
Đã trả lời bởi chuyên gia
72437 -
Đã trả lời bởi chuyên gia
22372 -
Đã trả lời bởi chuyên gia
19067
Gửi báo cáo thành công!
