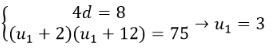
Số hạng đầu tiên của cấp số cộng dương (un) thoả mãn :
A. 2
B. 3
C. 4
D. 5
Quảng cáo
1 câu trả lời 566
Quảng cáo
Bạn cần hỏi gì?
Câu hỏi hot cùng chủ đề
-
Đã trả lời bởi chuyên gia
72437 -
Đã trả lời bởi chuyên gia
22372 -
Đã trả lời bởi chuyên gia
19067
Gửi báo cáo thành công!

