Công sai của cấp số cộng (un) thoả mãn :
A. 0
B. -1
C. -2
D. -3
Quảng cáo
1 câu trả lời 944
Chọn D
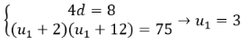
Ta giải hệ:

với d và u1 lần luọt là công sai và số hạn đầu tiên của cấp số cộng
Quảng cáo
Bạn cần hỏi gì?
Câu hỏi hot cùng chủ đề
-
Đã trả lời bởi chuyên gia
72437 -
Đã trả lời bởi chuyên gia
22372 -
Đã trả lời bởi chuyên gia
19067
Gửi báo cáo thành công!
