Cho 4 số lập phương thành cấp số cộng. Tổng của chúng bằng 22. Tổng các bình phương của chúng bằng 166. Tổng các lập phương của chúng bằng :
A. 22
B. 166
C. 1752
D. 1408
Quảng cáo
1 câu trả lời 234
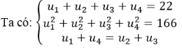
Gọi 4 số lập thành cấp số cộng là u1,u2,u3,u4
Ta có:

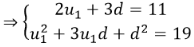
![]()
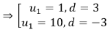
![]()
Vậy 4 số đó là 1,4,7,10 hoặc 10,7,4,1
Tổng các lập phương của chúng: 13+43+73+ 103=1408
Đáp án là D
Quảng cáo
Bạn cần hỏi gì?
Câu hỏi hot cùng chủ đề
-
Đã trả lời bởi chuyên gia
72437 -
Đã trả lời bởi chuyên gia
22372 -
Đã trả lời bởi chuyên gia
19067
Gửi báo cáo thành công!
