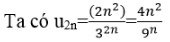
Cho dãy với mọi n≥1. Khi đó số hạng u2n của dãy là:
A.
B.
C.
D.
Quảng cáo
1 câu trả lời 837
Quảng cáo
Bạn cần hỏi gì?
Câu hỏi hot cùng chủ đề
-
Đã trả lời bởi chuyên gia
72437 -
Đã trả lời bởi chuyên gia
22372 -
Đã trả lời bởi chuyên gia
19067
Gửi báo cáo thành công!
