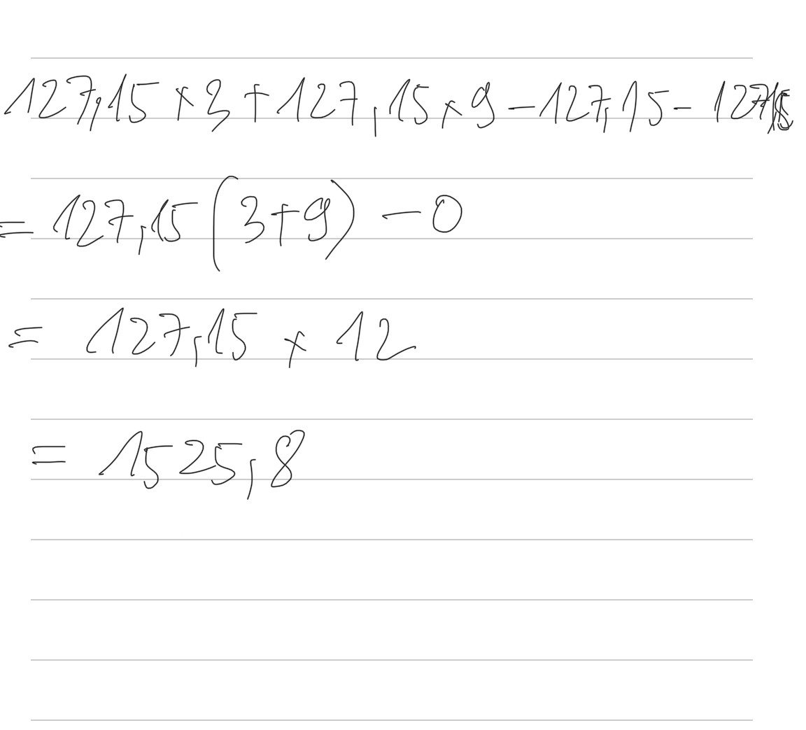
127,15 * 3 + 127.15 * 9 - 127,15 - 127,15
Quảng cáo
2 câu trả lời 147
127,15 x 3 + 127,15 x 9 - 127,15 - 127,15
127,15 x ( 3 + 9 - 1 - 1 )
127,15 x 10
1271,5
Học Tốt UwU
Quảng cáo
Bạn cần hỏi gì?
Câu hỏi hot cùng chủ đề
-
Đã trả lời bởi chuyên gia
64384 -
Hỏi từ APP VIETJACK
Đã trả lời bởi chuyên gia
58843 -
Đã trả lời bởi chuyên gia
49966 -
Đã trả lời bởi chuyên gia
46322 -
Đã trả lời bởi chuyên gia
40545 -
Đã trả lời bởi chuyên gia
36851 -
Đã trả lời bởi chuyên gia
31063 -
Hỏi từ APP VIETJACK
Đã trả lời bởi chuyên gia
30995
Gửi báo cáo thành công!
