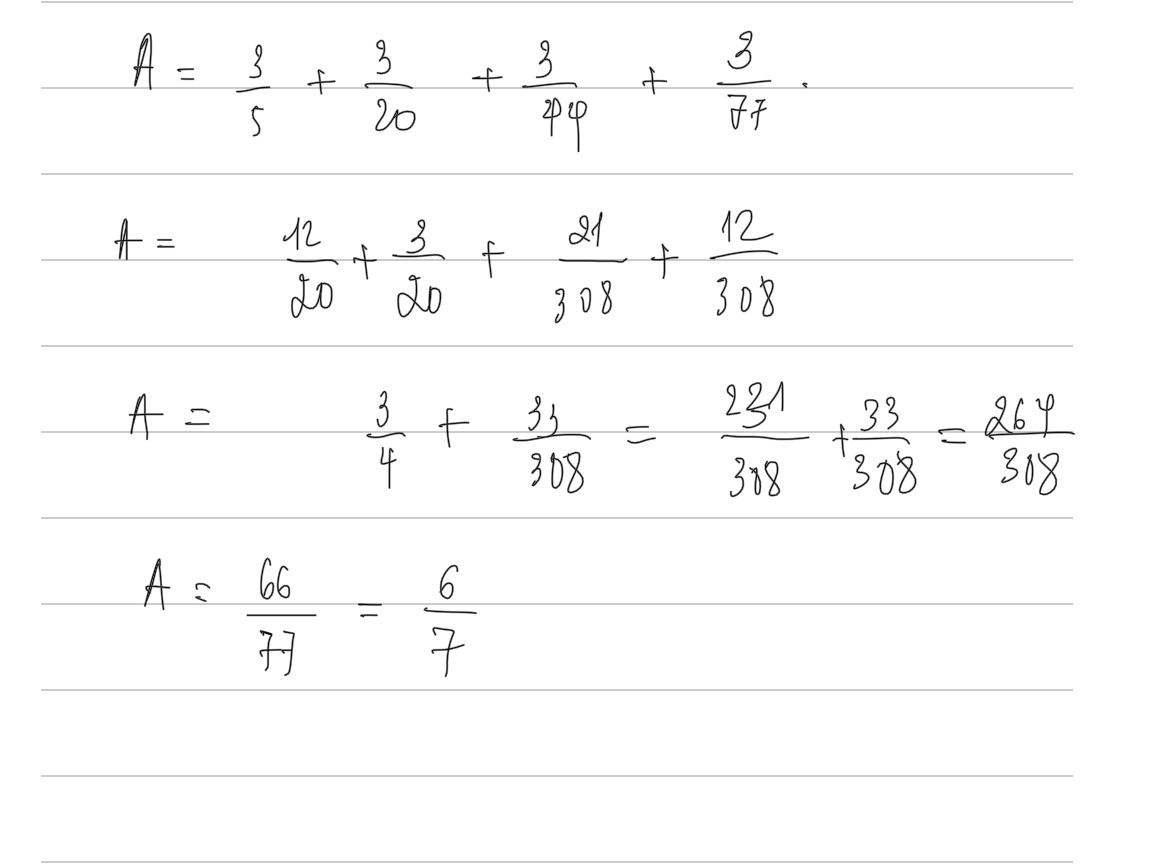
Tính giá trị của biểu thức một cách hợp lý : A = 3/5 + 3/20 + 3/44 + 3/77
Quảng cáo
1 câu trả lời 5026
Quảng cáo
Bạn cần hỏi gì?
Câu hỏi hot cùng chủ đề
-
Đã trả lời bởi chuyên gia
Điền vào chỗ trống trong bảng thanh toán sau:
Số thứ tự Loại hàng Số lượng (quyển) Giá đơn vị (đồng) Tổng số tiền (đồng) 1 Vở loại 1 35 2000 ... 2 Vở loại 2 42 1500 ... 3 Vở loại 3 38 1200 ... Cộng: ... 170202 -
Đã trả lời bởi chuyên gia
78790 -
Đã trả lời bởi chuyên gia
63239 -
Hỏi từ APP VIETJACK
Đã trả lời bởi chuyên gia
39549 -
Đã trả lời bởi chuyên gia
35527 -
Đã trả lời bởi chuyên gia
32400
Gửi báo cáo thành công!



