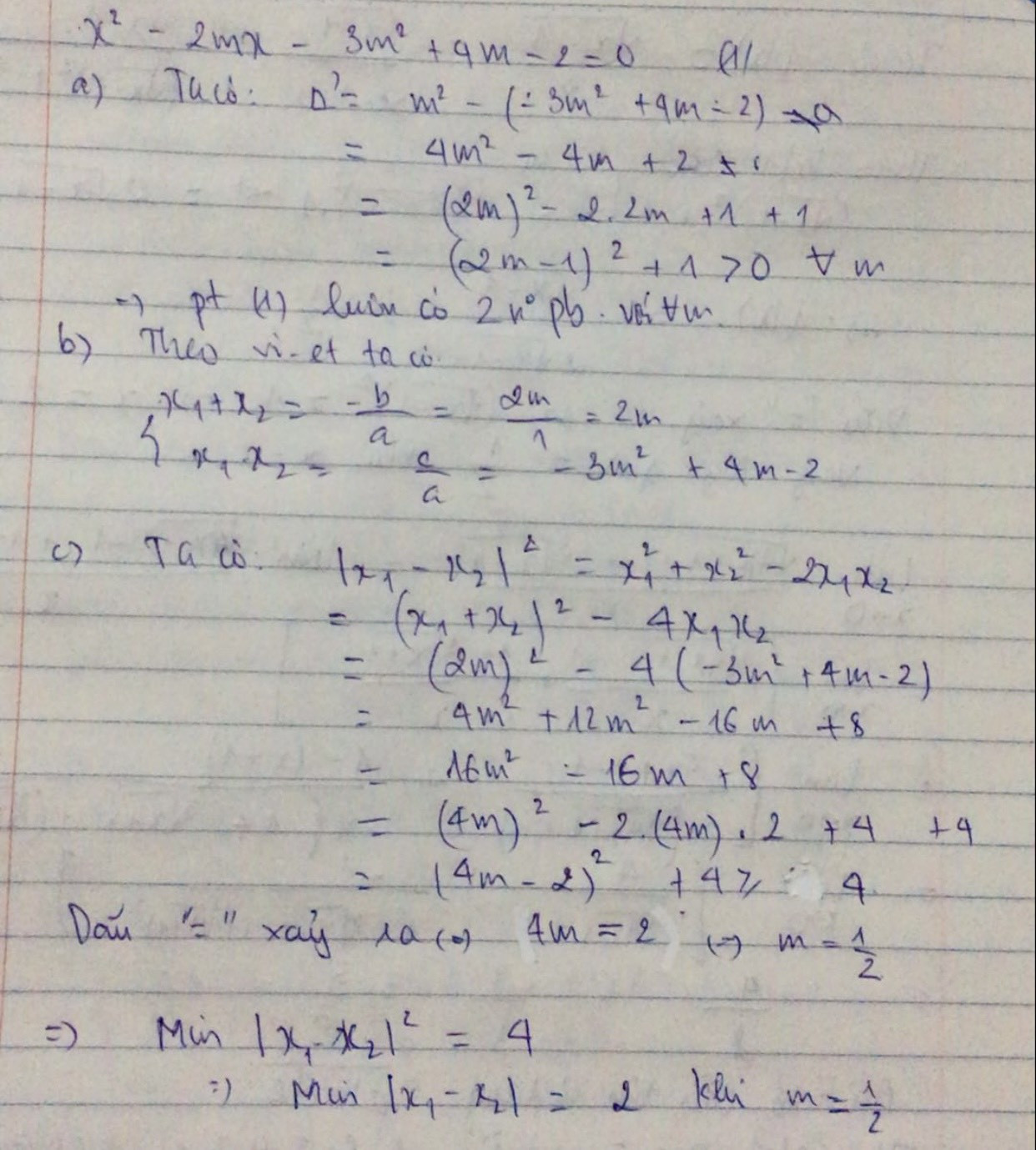
Cho pt x^2 - 2mx - 3m^2 + 4m - 2 = 0 (1)
a) Cm : pt (1) có 2 nghiệm phân biệt với mọi m
b)Tìm tổng hai nghiệm và tích hai nghiệm theo m
c)tìm m để |x1 - x2| đạt giá trị nhỏ nhất
Help me cần câu a b gấp !!!!
Quảng cáo
1 câu trả lời 2350
Quảng cáo
Bạn muốn hỏi bài tập?
Câu hỏi hot cùng chủ đề
-
Đã trả lời bởi chuyên gia
13666 -
Đã trả lời bởi chuyên gia
13599 -
Đã trả lời bởi chuyên gia
6423 -
Đã trả lời bởi chuyên gia
6124 -
6085
-
Đã trả lời bởi chuyên gia
5432 -
Đã trả lời bởi chuyên gia
4446
Gửi báo cáo thành công!

