Ông Ba muốn lát gạch và trồng cỏ cho sân vườn. Biết diện tích phần trồng cỏ bằng 1/5 diện tích sân vườn và diện tích phần lát gạch là 36 m2.
a) Tính diện tích sân vườn.
b) Tính diện tích trồng cỏ.
c) Giá 1 m2 cỏ là 50 000 đồng, nhưng khi mua ông được giảm giá 5%. Vậy số tiền cần mua có là bao nhiêu?
Quảng cáo
1 câu trả lời 1793
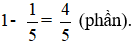
a) Diện tích phần lát gạch chiếm số phần sân vườn là:
![]()
Diện tích sân vườn là:
![]()
Vậy diện tích sân vườn là: 45 m2.
b) Cách 1: Diện tích trồng cỏ là: 45 – 36 = 9 (m2).
Vậy diện tích trồng cỏ là 9m2.
Cách 2: Diện tích trồng cỏ là:
![]()
Vậy diện tích trồng cỏ là 9m2.
c) 1m2 cỏ có giá 50 000 đồng nên 9m2 có giá 9.50 000 = 450 000 (đồng).
Lúc ông Ba mua được giảm 5% nên giá tiền thực tế để mua cỏ là:
450 000 – 5%.450 000 = 427 500 (đồng).
Vậy số tiền cần mua cỏ là 427 500 đồng.
Quảng cáo
Bạn cần hỏi gì?
Câu hỏi hot cùng chủ đề
-
Đã trả lời bởi chuyên gia
Điền vào chỗ trống trong bảng thanh toán sau:
Số thứ tự Loại hàng Số lượng (quyển) Giá đơn vị (đồng) Tổng số tiền (đồng) 1 Vở loại 1 35 2000 ... 2 Vở loại 2 42 1500 ... 3 Vở loại 3 38 1200 ... Cộng: ... 170100 -
Đã trả lời bởi chuyên gia
78752 -
Đã trả lời bởi chuyên gia
63195 -
Hỏi từ APP VIETJACK
Đã trả lời bởi chuyên gia
39467 -
Đã trả lời bởi chuyên gia
35479 -
Đã trả lời bởi chuyên gia
32364



