Làm tính chia
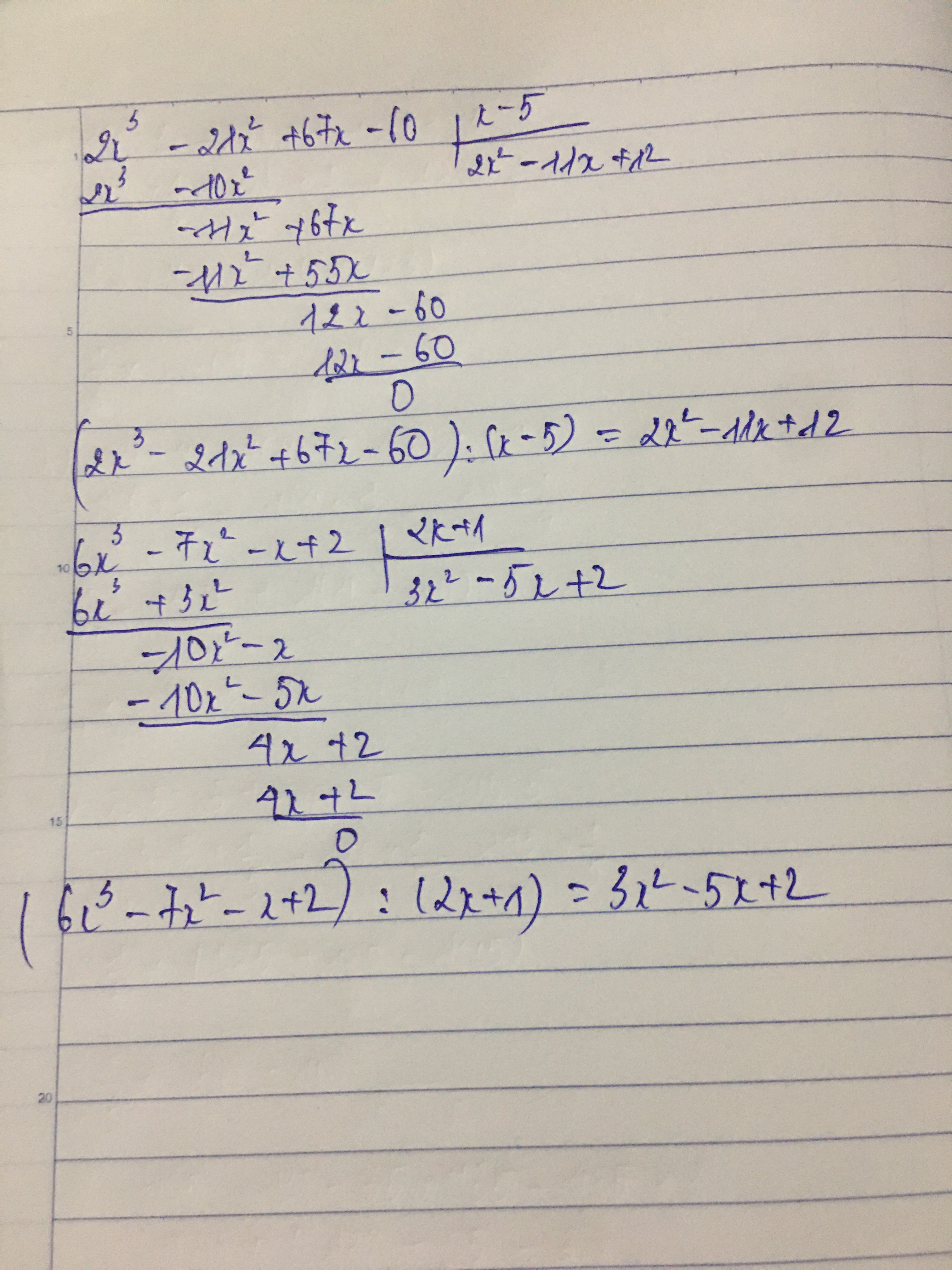
e) (2x^3-21x^2+ 67x -60) : (x -5)
f) (6x^3–7x^2–x + 2) : (2x + 1)
Quảng cáo
1 câu trả lời 777
Quảng cáo
Bạn muốn hỏi bài tập?
Câu hỏi hot cùng chủ đề
-
17423
Gửi báo cáo thành công!
Làm tính chia
e) (2x^3-21x^2+ 67x -60) : (x -5)
f) (6x^3–7x^2–x + 2) : (2x + 1)
Quảng cáo
Quảng cáo
Bạn muốn hỏi bài tập?