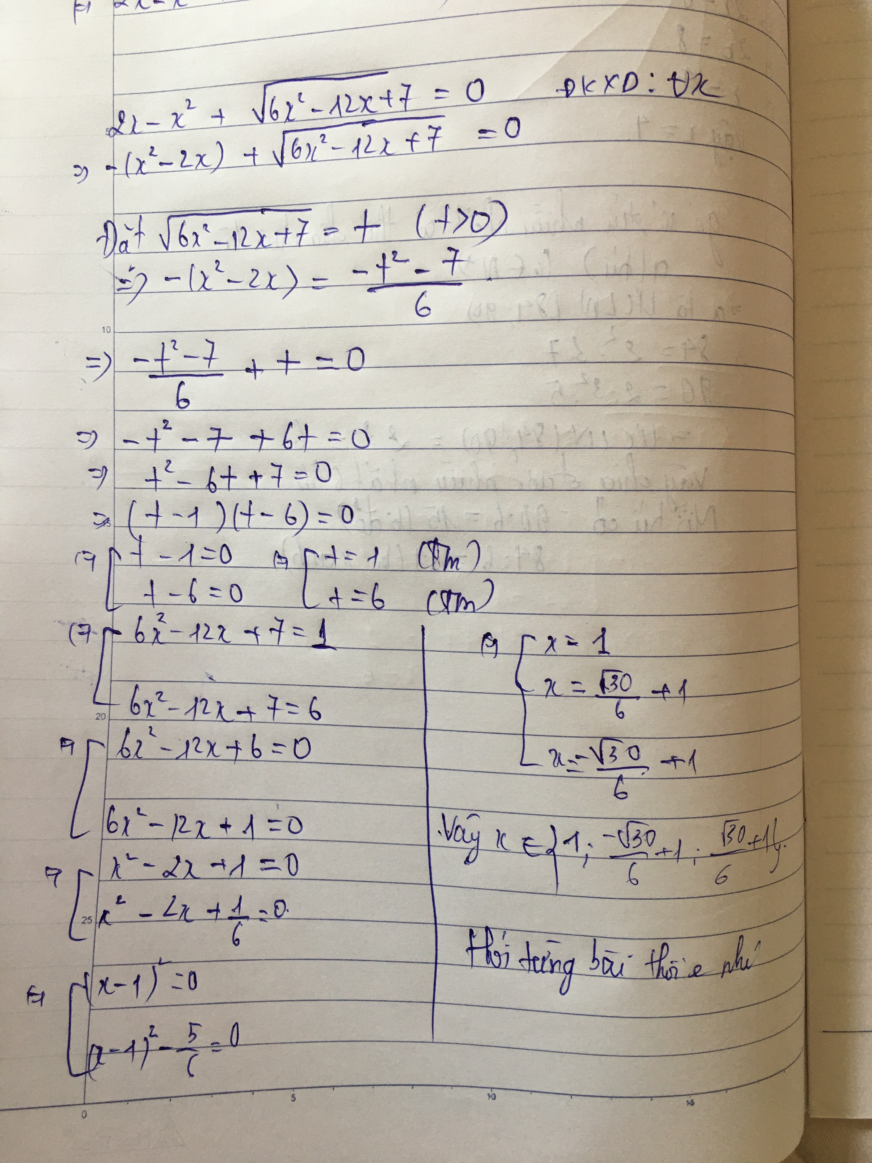
a) 2x-x2+6x2 -12x +7 = 0 b) (x -3)2 + 3x - 22 = x2 -3x + 7 c) x(x + 1) - x2 + x +2 + 2 = 0 d) (x + 3) (1 - x) + 5x2 + 2x - 7 = 0
Quảng cáo
Bạn muốn hỏi bài tập?
Parabol x2+2x-3 có trục đối xứng là đường thẳng:
A. x= -2
B. x=-1
C. y=-1
D. y=-2
Tìm tập xác định của hàm sốa) y =căn 3x-2 . b) y =căn x^2 +1 .c) y =căn -2x+1- căn x-1 . d) y =căn x^2 -2x+1+căn x-3 .
Tìm tập xác định của hàm số: a) Y=3X-1/-2X-2, b) y=2x-1/(2x+10)*(x-3) c) y=1/x^2+4x+5 d) y=2x+1/x^3-3x+2
Tìm tập xác định D:Y=X+1/(X+1)(X^2+3X+4)
Parabol có đỉnh I(0,-1) và đi qua điểm M(2;3) có phương trình là:
A. y=x2-4x-1
B. y=x-12+2
C. y=x+12-1
D. y=x2-1
tập xác định của hàm số y=x-4
Xét tính đồng biến và nghịch biến của hàm số y=fx=-x2+4x-2 trên các khoảng -∞;2 và 2;+∞.
A. fx đồng biến trên khoảng -∞;2 và nghịch biến trên khoảng 2;+∞
B. fx đồng biến trên cả hai khoảng -∞;2 và 2;+∞
C. fx nghịch biến trên khoảng -∞;2 và đồng biến trên khoảng 2;+∞
D. fx nghịch biến trên cả hai khoảng -∞;2 và 2;+∞
Hàm số y=-x2-4x+5 đồng biến trên:
A. ℝ
B. -4;+∞
C . -2;+∞
D. -∞;-2
Xác định a, b để đồ thị của hàm số y = ax + b đi qua các điểm A(1; 2) và B(2; 1)
Chỉ ra khoảng đồng biến, nghịch biến của hàm số: y = ax2 + bx + c, trong mỗi trường hợp a > 0 ; a < 0.