. Đồng có hai đồng vị bền
Cu 65
29
và
Cu 63
29
. Nguyên tử khối trung bình của
đồng là 63,54. Tính thành phần phần trăm số nguyên tử của
Cu 65
29
, Cu 63
29
.
Cu 65
29
và
Cu 63
29
. Nguyên tử khối trung bình của
đồng là 63,54. Tính thành phần phần trăm số nguyên tử của
Cu 65
29
, Cu 63
29
.
Quảng cáo
2 câu trả lời 900

Xun Xun
· 4 năm trước
sao bạn gửi ảnh lên hay zạy?
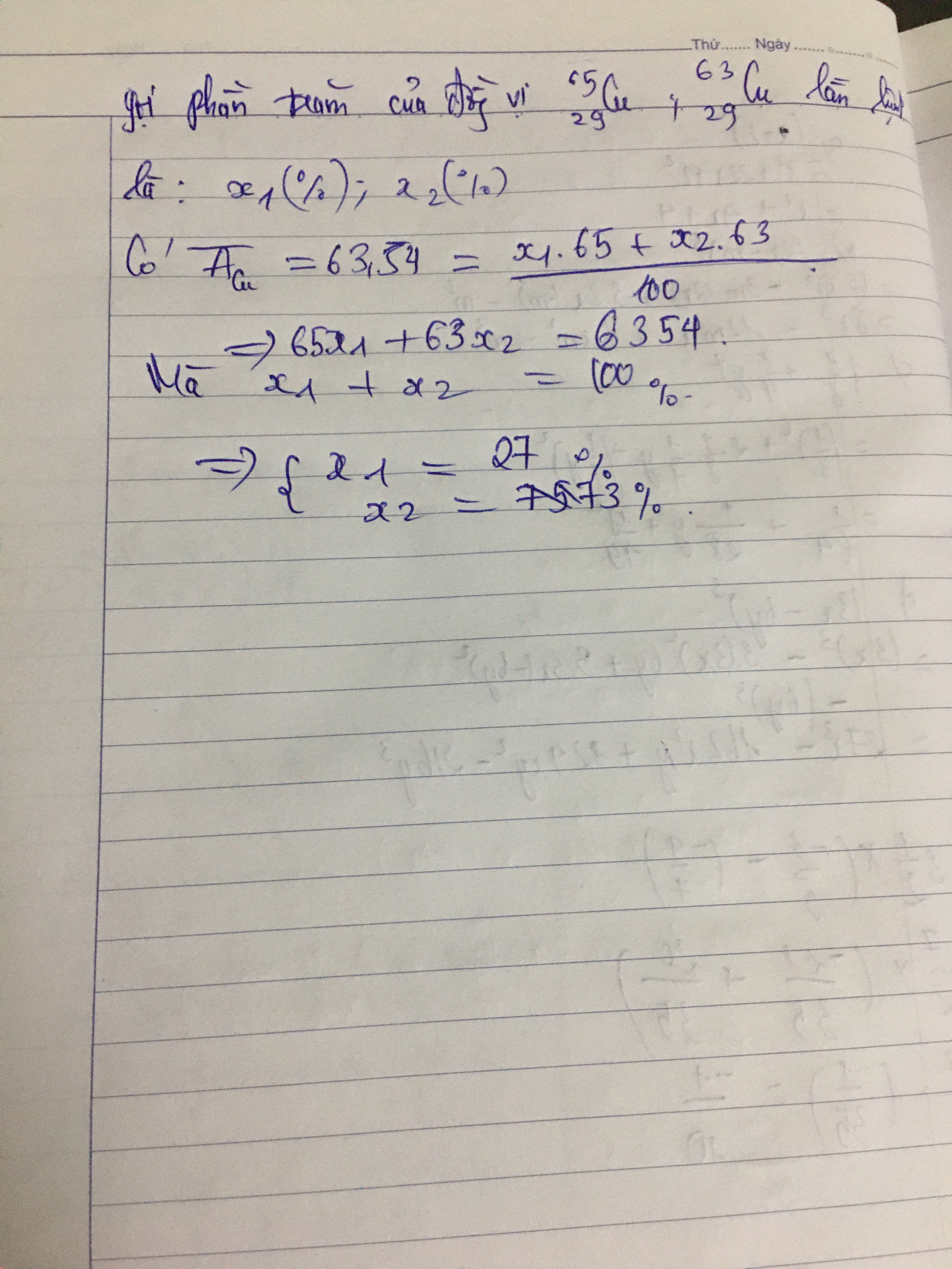
Gọi thành phần % nguyên tử của 65/29Cu và 63/29Cu lần lượt là x(%) và y(%)
[x+y = 100
[ACu = (65x + 63y)/100 = 63,546
[x+y=100
[65x+63y = 6354
[x=27
[y=73
[x+y = 100
[ACu = (65x + 63y)/100 = 63,546
[x+y=100
[65x+63y = 6354
[x=27
[y=73
Quảng cáo
Bạn cần hỏi gì?
Câu hỏi hot cùng chủ đề
-
Hỏi từ APP VIETJACK99922
-
Hỏi từ APP VIETJACK
Đã trả lời bởi chuyên gia
63938 -
Đã trả lời bởi chuyên gia
58966 -
Đã trả lời bởi chuyên gia
41991 -
Hỏi từ APP VIETJACK
Đã trả lời bởi chuyên gia
38932
Gửi báo cáo thành công!
