phân tích các đa thức
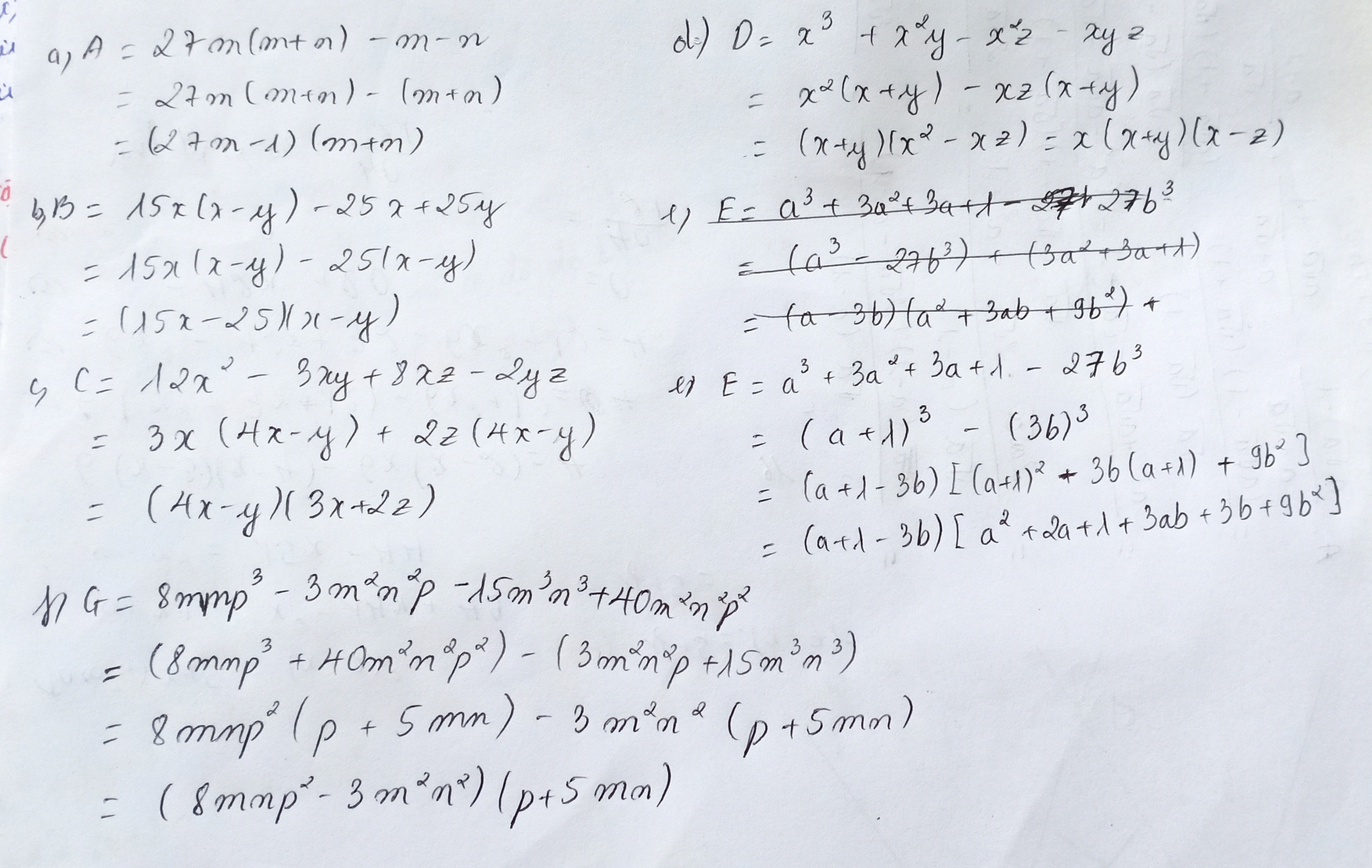
a) A=27m(m+n) -m-n
b) B=15x(x-y) -25x+25y
c) C=12x^2-3xy+8xz-2yz
d) D=x^3 +x^2y-x^2z-xyz
e) E=a^3+3a^2+3a+1-27b^3
g) G=8mnp^3 -3m^2n^2p-15m^3n^3+40m^2n^2p^2
Quảng cáo
1 câu trả lời 810
Quảng cáo
Bạn cần hỏi gì?
Câu hỏi hot cùng chủ đề
-
Đã trả lời bởi chuyên gia
17482 -
Đã trả lời bởi chuyên gia
8069 -
Đã trả lời bởi chuyên gia
8029
Gửi báo cáo thành công!

