Kiet Nguyen
Hỏi từ APP VIETJACK
Cho m gam Mg phản ứng với 100 gam HCl dư, sau phản ứng thu được dung dịch Y và 11,2 lít khí ở đktc?
a) Viết PTPU và tính m
b) Tính nồng độ C% của muối có trong dung dịch Y
Vá Thao thị
· 1 năm trước
Cho m gam Mg tác dụng với dung dịch HCl dư thu được 11,2 lít H2 đktc
Quảng cáo
2 câu trả lời 10953
4 năm trước
Phần a) Phương trình phản ứng và tính m:
Phương trình phản ứng:
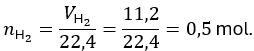
Số mol khí H2:

Số mol của Mg:
![]()
Khối lượng của Mg:
![]()
Phần b) Tính của muối MgCl2:
Số mol MgCl2:
![]()
Khối lượng MgCl2:
![]()
Khối lượng dung dịch sau phản ứng:

Nồng độ phần trăm (C% ) của MgCl2:


Kết luận
1. Khối lượng Mg:
m = 12 g.
2. Nồng độ phần trăm:
0
.
Quảng cáo
Bạn muốn hỏi bài tập?
Câu hỏi hot cùng chủ đề
-
Hỏi từ APP VIETJACK99845
-
Hỏi từ APP VIETJACK63812
Gửi báo cáo thành công!
