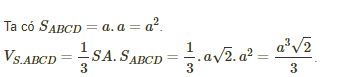
cho hình chóp tứ giác S.ABCD có đáy ABCD là hình vuonng cạnh a , cạch bên SA vuông góc với mặt phảng đáy và SA=2. tính thể tích V của khối chóp S.ABCD
Quảng cáo
1 câu trả lời 604
Quảng cáo
Bạn muốn hỏi bài tập?
Câu hỏi hot cùng chủ đề
Gửi báo cáo thành công!





