Trong phân tử M2X có tổng số các loại hạt cơ bản là 140 hạt, trong đó số hạt mang điện nhiều hơn số hạt không mang điện là 44 hạt. Số khối của nguyên tử M lớn hơn số khối của nguyên tử X là 23 hạt. Tổng số hạt trong nguyên tử M nhiều hơn tổng số hạt trong nguyên tử X là 34 hạt. Tìm công thức hóa học của hợp chất.
Quảng cáo
1 câu trả lời 1244
4 năm trước
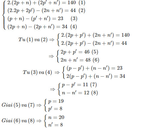
Đặt số proton và notron của M lần lượt là p và n số proton và notron của X lần lượt là p' và n' Ta có hệ phương trình:

Số khối của M là:
A = p + n = 19 + 20 = 39
=> M là Kali (kí hiệu: K)
Số khối của X là:
A' = p'+ n' = 8 + 8 = 16
=> X là Oxi (kí hiệu: O)
Vậy CT hợp chất:
Quảng cáo
Bạn cần hỏi gì?
Câu hỏi hot cùng chủ đề
-
Hỏi từ APP VIETJACK99922
-
Hỏi từ APP VIETJACK
Đã trả lời bởi chuyên gia
63938 -
Đã trả lời bởi chuyên gia
58966 -
Đã trả lời bởi chuyên gia
41991 -
Hỏi từ APP VIETJACK
Đã trả lời bởi chuyên gia
38932
Gửi báo cáo thành công!
