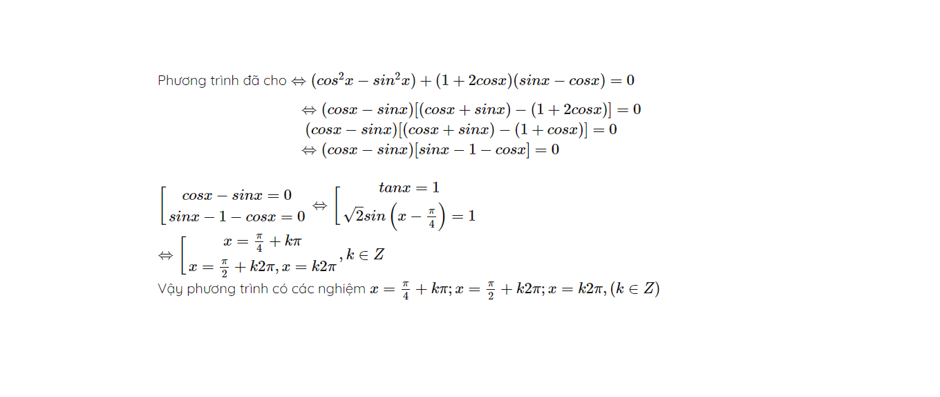
Cos2x +(1+2cosx).(sinx-cosx)=0
Quảng cáo
1 câu trả lời 795
Quảng cáo
Bạn cần hỏi gì?
Câu hỏi hot cùng chủ đề
-
Đã trả lời bởi chuyên gia
47575 -
Đã trả lời bởi chuyên gia
27576 -
Đã trả lời bởi chuyên gia
20208 -
Đã trả lời bởi chuyên gia
19322 -
Đã trả lời bởi chuyên gia
18900 -
Đã trả lời bởi chuyên gia
13018
Gửi báo cáo thành công!

