vật dao động điều hòa với phương trình x=5cos(4pit + pi/6 ). Tìm thời điểm vật đi qua điểm có tọa độ X = 2,5 theo chiều dương thứ nhất
Quảng cáo
2 câu trả lời 60108
Giải chi tiết:
Bước 1: Phương trình dao động điều hòa
Phương trình dao động điều hòa:
![]()
trong đó:
- Biên độ: A = 5 cm,
- Tần số góc: = 4 rad/s,
- Pha ban đầu:
.
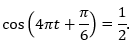
Từ đề bài, vật đi qua x = 2,5 cm. Thay vào phương trình:
![]()
Bước 2: Giải phương trình
Chia cả hai vế cho 5:
![]()
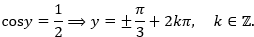
Từ công thức lượng giác:
![]()
Do đó:
![]()
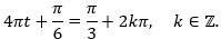
Bước 3: Xét các trường hợp
Ta cần tính thời điểm đầu tiên vật đi qua x = 2,5 theo chiều dương. Điều kiện này xảy ra khi:
![]()
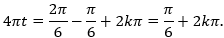
Bước 4: Giải phương trình
Từ phương trình:
![]()
Trừ
cho cả hai vế:
![]()
Quy đồng mẫu:
![]()
Chia cả hai vế cho 4:

Rút gọn:
![]()
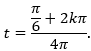
Bước 5: Xét thời điểm đầu tiên
Thời điểm đầu tiên (k = 0):
![]()
Kết luận:
Thời điểm đầu tiên vật đi qua điểm có tọa độ x = 2,5 theo chiều dương là:
![]()
Hồ Nguyễn
· 4 năm trước
ô mê ga họ cho là 4 pi mà ??? sao lại 2 pi ??
Hồ Nguyễn
· 4 năm trước
mà chiều dương...thì v bên dưới mới thõa mãn mà????????

đây nha bn
Đặng Phương Nam
· 7 tháng trước
Tại sao lại chọn điểm M' lại không chọn
Đặng Phương Nam
· 7 tháng trước
Điểm M
Vawn Hoan Nguyen
· 5 tháng trước
điểm M nhânj giá trị x âm
Vawn Hoan Nguyen
· 5 tháng trước
điềm M' nhận gt dương
Quảng cáo
Bạn cần hỏi gì?
Câu hỏi hot cùng chủ đề
-
Đã trả lời bởi chuyên gia
153396 -
Đã trả lời bởi chuyên gia
130334 -
Đã trả lời bởi chuyên gia
112753 -
Đã trả lời bởi chuyên gia
106968 -
Đã trả lời bởi chuyên gia
71725
Gửi báo cáo thành công!
